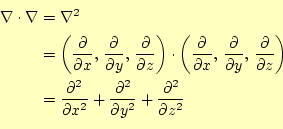
![]() |
これは、見て分かるようにスカラー演算子である。スカラー演算子であるため、
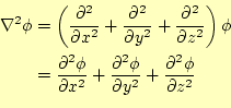
スカラーやベクトルに作用することができる。スカラー場
に作用すると、
次のようなスカラー場ができる。
![]() |
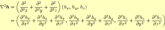
ベクトル場
に作用すると、次のようなベクトル場ができる。
![]() |
先にも述べたように、このように単純に計算できるのはカーテシアン座標系の場合に限ら れる。ほかの曲線座標系のラプラス演算子は複雑である。円柱座標系と球座標系について は、詳細は、私のwebページに載せている。
http://www.akita-nct.jp/~yamamoto/study/electromagnetics/laplacian/html/index.htmlを参考にせよ。