3 グリーンの定理

定理 3.1 (グリーンの定理)
スカラー場$ f(x,y,z)$$ g(x,y,z)$があるとする。この領域内の閉じた任意の部分を$ V$ とする。そして、この$ V$の境界面を$ S$とする。すると、以下が成り立つ。


これをグリーンの定理という

ベクトル解析の恒等式

$\displaystyle \boldsymbol{\nabla}\cdot(f\boldsymbol{\nabla} g)=\boldsymbol{\nabla} f\cdot\boldsymbol{\nabla} g+f\boldsymbol{\nabla}^2g$ (5)

の両辺を体積積分する。左辺にはガウスの定理を用いると、

$\displaystyle \int_S f\boldsymbol{\nabla} g\cdot\boldsymbol{n}\mathrm{d}S =\int...
...l{\nabla} f\cdot\boldsymbol{\nabla} g+f\boldsymbol{\nabla}^2g\right)\mathrm{d}V$ (6)

である。これで、式(3)が証明できた。

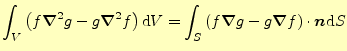
式(5)と、これの$ f$$ g$を入れ替変えたの辺々を引き 算すると、

$\displaystyle \boldsymbol{\nabla}\cdot\left(f\boldsymbol{\nabla}g-g\boldsymbol{\nabla}f\right)=f\boldsymbol{\nabla}^2g-g\boldsymbol{\nabla}^2 f$ (7)

となる。同じように体積積分をしてガウスの定理を使うと、式(4)を得る ことができる。

グリーンの定理は、

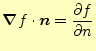
$\displaystyle \boldsymbol{\nabla} f\cdot\boldsymbol{n}= \if 11 \frac{\partial f}{\partial n} \else \frac{\partial^{1} f}{\partial n^{1}}\fi$ (8)

として、

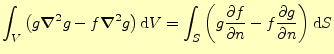
$\displaystyle \int_V(\boldsymbol{\nabla}f\cdot \boldsymbol{\nabla}g+f\boldsymbo...
...rtial g}{\partial n} \else \frac{\partial^{1} g}{\partial n^{1}}\fi \mathrm{d}S$ (9)
$\displaystyle \int_V\left(g\boldsymbol{\nabla}^2g-f\boldsymbol{\nabla}^2 g\righ...
...}{\partial n} \else \frac{\partial^{1} g}{\partial n^{1}}\fi \right)\mathrm{d}S$ (10)

と書かれる場合もある。
ホームページ: Yamamoto's laboratory
著者: 山本昌志
Yamamoto Masashi
平成19年6月24日


no counter