| [問1] |
|---|
|
自由空間中のマクスウェルの方程式を示せ。
|
自由空間では、電流や電荷はない。したがって、マクスウェルの方程式の中で、
、
とすればよい。すると、自由空間での電磁場を表すマクスウェルの方程式
が得られる。
| [問2] |
|---|
自由空間中のマクスウェルの方程式から、以下の波動方程式を導け。
|
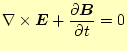
自由空間では、電流や電荷はない。したがって、マクスウェルの方程式は
となる。
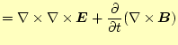
この式のうち3番目のものの両辺に回転の演算子を作用させると、
| 0 |
 |
|
| |
マクスウェルの方程式の4番目の式)より |
|
| |
 |
(39) |
となり、電場のみの式にできる。ここで、右辺第一項であるが、これはベクトル恒等式

を使い、
| 0 |
 |
|
| |
マクスウェルの方程式の1番目の式より |
|
| |
 |
|
と変形できる。これで、電場のみの式となった。
同様のことを磁場について行う。マクスウェルの方程式の4番目の式の両辺の回転の演算
子を作用させると
| 0 |
 |
|
| |
とマクスウェルの方程式の3番目の式より |
|
| |
 |
|
| |
マクスウェルの方程式の2番目の式より |
|
| |
 |
|
が得られる。
以上の操作により得られた電場と磁場の式を整理すると、
が得られる。
ホームページ:
Yamamoto's laboratory著者:
山本昌志
Yamamoto Masashi
2005-11-15