2 ラグランジュ補間

2.1 基本的な考え方

ある物理量を測定して$ N+1$個の値が得られたとしよう。それらは、 $ (x_0,y_0)\,,(x_1,y_1),\,(x_2,y_2),\,\cdots,\,(x_N,y_N)$の2次元座標で 示すことができるでしょう。この全ての点を通る関数を求めることが補間法の 課題です。N次関数を使えばその目的が達成できると容易に分かります。すな わち、

$\displaystyle y=a_0+a_1x+a_2x^2+\cdots+a_ix^i+\cdots+a_Nx^N$ (1)

と補間するわけです。この係数$ a_i$を求めれば、補間の関数が求められたこ とになります。この係数は、N+1元の連立1次方程式を解くことにより求めるこ とができます。

連立方程式の計算は時間がかかります。それに代わるもっと良い方法がありま す。ここではN次関数で表現できれば良いわけで、以下がそれになります。

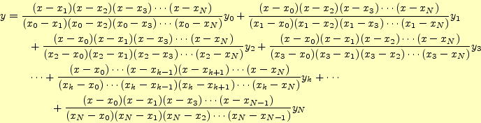
\begin{equation*}\begin{aligned}y&=\frac{(x-x_1)(x-x_2)(x-x_3)\cdots(x-x_N)} {(x...
...{(x_N-x_0)(x_N-x_1)(x_N-x_2)\cdots(x_N-x_{N-1})}y_N \end{aligned}\end{equation*}

この式(2)を見ると、 となっている。これは、表現こそ違うものの式(1)と同 じです。これは、式(1)の$ a_i$を求めて補間の関数を 求める必要は無く、式(2)を使 えばよいということです。この補間をラグランジュの補間多項式 (Lagrange's interpolating polynomial)と言います。式 (2)をもうちょっと格好良く書 けば、

\begin{equation*}\begin{aligned}L(x)&=\sum_{k=0}^{N}L_k(x)y_k\\ &\qquad\text{た..
..._k(x)=\prod_{j=0}^{N(j\neq k)}\frac{x-x_j}{x_k-x_j} \end{aligned}\end{equation*}

となります。

2.2 問題点

補間の点数が増えてくると、ラグランジュの補間には問題が生じます。具体例 を図に示します。これを見ると分かるよう に、補間の関数が振動しています。ラグランジュの補間では、補間の点数が増 えてくると大きな振動が発生して、もはや補間とは言えなくなります。ラグラ ンジュの補間には常にこの問題が付きまといますので、データ点数が多い場合 は使えません。ほかの補間を考える必要があります。
図 4: ラグランジュ補間の問題点。 $ y=\frac{1}{1+25x^2}$を10点で補間 (点線)したが、両端で振動する。
\includegraphics[keepaspectratio,scale=0.5]{figure/lagrange_problem.eps}



ホームページ: Yamamoto's laboratory
著者: 山本昌志
Yamamoto Masashi
平成19年8月21日


no counter