5 練習問題

5.1 ガウス・ジョルダン法

  1. 次の連立方程式をピボット選択無しのガウス・ジョルダン法で計算す るプログラムを作成しなさい。これは、教科書のP.22の例題2です。プ ログラムは、$ N=3$のみならず、$ N=100$程度まで容易に計算できるよう に汎用的にすること。

    $\displaystyle \left\{ \begin{aligned}2x-4y+6z&=5\\ -x+7y-8z&=-3\\ x+y-2z&=2 \end{aligned} \right.$

  2. プログラムが完成したら、逆行列を計算するルーチンも追加しなさい。 そして、逆行列と元の行列をかけ合わせたら単位行列になることを確認 しなさい。
  3. 逆行列が完成したら、ピボット選択のルーチンを追加しなさい。
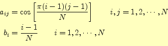
  4. ピボット選択のルーチンが完成したならば、次の連立方程式を計算し なさい。

    \begin{equation*}\begin{aligned}a_{ij}&=\cos\left[\frac{\pi (i-1)(j-1)}{N}\right...
...\cdots,N\\ b_i&=\frac{i-1}{N} \qquad i=1,2,\cdots,N \end{aligned}\end{equation*}

    これは、三角波のフーリエ変換になっている。とりあえず、N=100程度 で計算してみて、最後に

    \begin{equation*}\begin{aligned}f(x)=\sum_{j=1}^{N}x_i\cos\left[(j-1)x\right] \end{aligned}\end{equation*}

    をプロットして三角波になっていうることを確認せよ。




ホームページ: Yamamoto's laboratory
著者: 山本昌志
Yamamoto Masashi
平成19年8月21日


no counter