ENIACの故障確率を計算してみよう。真空管の平均寿命を
とすると、1本
が
の時間に故障する確率は
となる。故障し
ない確率は、
となる。この真空管が
本あって、
の間故障しない確率
は、
 |
(1) |
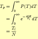
となる。これが、
の間故障しない確率である。ここで、
を計算したいわけであるが、そのために、
とおいて、式を整理すると、
 |
(2) |
となる。この式でも、まだ見通しが悪い。そこで
と
おく。すると、
となる。従って、
本の真空管、全てが健全である平均時間間隔
は、
となる。この結果は、至極あたりまえで、平均寿命を真空管の本数で割ったこ
とになっている。このようにあたりまえの結果では有るが、ちゃんと計算して
導くことができるのは面白いことである。私は、小一時間程度、この式を導く
ために遊んだ。
約20000本の真空管が使われているENIACの場合、その寿命が2000時間とすると、
約1/10時間(6分)で故障することになる。これでは使い物にならないので、
ENIACの開発スタッフは猛烈な努力をして、これを改善したようである。大体、
真空管の故障は、週に2〜3本程度であったということである。
ホームページ: Yamamoto's laboratory
著者: 山本昌志
Yamamoto Masashi
平成19年8月22日