定積分、
 |
(3) |
の近似値を数値計算で求めることを考える。積分の計算は、先に示したように面積の計算
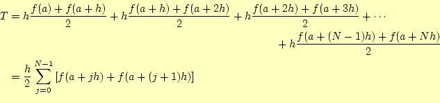
であるから、図
2のように台形の面積の和で近似ができるであ
ろう。積分の範囲
![$ [a,b]$](img6.png)
を

等分した台形で近似した面積Tは、
となる。これが数値積分の台形公式である。なんのことはない、積分を台形の面積に置き
換えているだけである。
台形公式による数値積分では、分割数

を大きくするとその誤差は小さくなることは直
感で分かる。それでは、分割数を増やしていくとどのように精度が良くなるのか考えてみ
よう。
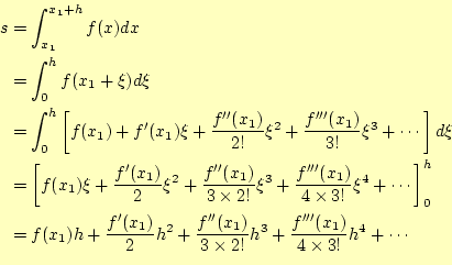
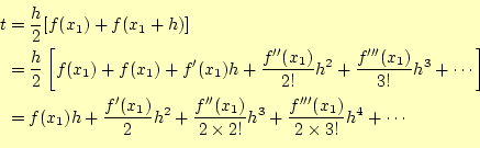
まずは、式4のある一つの台形の面積と実際の積分の値を比較する。台
形の面積
は、台形公式より、
となる。これを実際の積分
と比較することにする。これら2つの式の形がぜんぜん違うので比較できないと考えるか
もしれないが、このような場合の常套手段がある。このようなときには、テーラー展開を
すれば良いのである。式(
5)を

の周りで、テイラー展開す
ると
となる。これが台形の面積のテイラー展開である。一方、積分の
式(
6)もテイラー展開する。これは、
となる。この2つの式(
7)と
(
8)が台形での近似と
まっとうに積分を行ったときのテイラー展
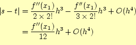
開を表す。これらの式を比べると、刻み巾

の2 次まで一致している。異なるのは3次以
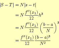
降で、積分の誤差は、
と表せる。即ち、積分を台形で近似したひとつの区間の誤差は、刻み幅の

で効いて
くるのである。従って、積分のトータルの誤差は、それを区間の個数

を乗じた
となる。要するに積分の誤差は、分割数

に反比例する。分割数を10倍に
すれば、積分の誤差は1/100になるわけである。
ホームページ:
Yamamoto's laboratory著者:
山本昌志
Yamamoto Masashi
平成17年1月25日