実用的なプログラムでは、非常に大きな連立方程式を計算しなくてはならない。数百万元
に及ぶことも珍しくない。これを、ガウス・ジョルダン法で
計算するの時間的にほとんど不可能である。そこで、これよりは格段に計算の速い方法が
用いられる。ここでは、その一つとして反復法を簡単に説明する。
当然ここでも、連立方程式
を満たす

を数値計算により、求めることになる。ここで、真の解

とする。
ここで、ある計算によりn回目で求められたものを
とする。そして、計算回数を増やして、
 |
(2) |
になったとする。この様に計算回数を増やして、真の解に近づける方法を反復法という。
この様な方法は、行列
を
と分解するだけで、容易に作ることが
できる。たとえば、
とすればよい。ここで、

が

に収束するとする。すると、式
(
3)と式(
1)を比べれば、

と

は等しいことがわかる。すなわち、式(
3)で元の方程式
(
1)を表した場合、

が収束すれば、必ず真の解

に収束するのである。別の解に収束することはなく、真の解に収束するか、発散
するかのいずれかである。
計数行列

の対角行列を反復計算の行列

としたものがヤコビ(Jacobi)法で
ある。ここでも、ヤコビは顔を出す。ヤコビ法では、係数行列を
![$\displaystyle \left[ \begin{array}{@{ }ccccc@{ }} a_{11} & a_{12} & a_{13} & ...
... & \ddots & \vdots a_{n1} & a_{n2} & a_{n3} & \ldots & 0 \end{array} \right]$](img14.png) |
(4) |
と分解する。右辺第1項が行列

で第2項が

となる。

の解の
計算に必要な

の逆行列は、それが対角行列なので、
![$\displaystyle \boldsymbol{S}^{-1}= \left[ \begin{array}{@{ }ccccc@{ }} a_{11}...
...vdots & \ddots & \vdots 0 & 0 & 0 & \ldots & a_{nn}^{-1} \end{array} \right]$](img17.png) |
(5) |
と簡単である。k+1番目の近似解は、

なので容易に求めるこ
とができる。実際、k番目の解
とすると、k+1番目の解は
と計算できる。これが、ヤコビ法である。
ヤコビ法の特徴では、

の近似値は、すべてその前の値

を
使うことにある。大きな行列を扱う場合、全ての

と

を記
憶する必要があり、大きなメモリーが必要となり問題が生じる。今では、個人で大きなメ
モリーを使い計算することは許されるが、ちょっと前まではできるだけメモリーを節約し
たプログラムを書かなくてはならなかった。
そこで、
の各成分の計算が終わると、それを直ちに使うことが考えば、
メモリーは半分で済む。即ち、
を計算するときに、
とするのである。実際の計算では、k+1番目の解は
と計算できる。これが、ガウス・ザイデル法である。
ガウス・ザイデル法をもっと改善する方法がある。ガウス・ザイデル法の解の修正は、

であったが、これをもっと大きなステップにしようというのである。通常
の場合、ガウス・ザイデル法では近似解はいつも同じ側にあり、単調に収束する。そのた
め、修正を適当にすれば、もっと早く解に近づく。修正幅を、加速緩和乗数

を用
いて、

とする事が考えられた。これが、逐次加速緩和法(SOR法:
Successive Over-Relaxation)である。
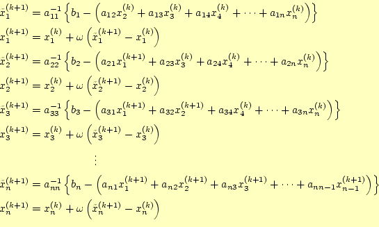
具体的な計算手順は、次のようにする。ここでは、ガウス・ザイデル法の式
(8)を用いて、得られた近似解を
としている。
これが、SOR法である。
ここで、問題なのが加速緩和係数
の値の選び方である。明らかに、それが1の場
合、ガウス・ザイデル法となりメリットは無い。また、1以下だと、ガウス・ザイデル法
よりも収束が遅い。ただし、ガウス・ザイデル法で収束しないような問題には使える。
従って、1以上の値にしたいわけであるが、余り大きくすると、発散するのは目に見えて
いる。これについては、2を越えると発散することが分かっている。最適値となると、だ
いたい1.9くらいが選ばれることが多い。
ホームページ:
Yamamoto's laboratory著者:
山本昌志
Yamamoto Masashi
平成17年3月1日