ここで述べている回路の応答の計算は、諸君が現在身につけいている数学のレベルを超えている。
しかし、結果については学習の範囲内であり、直感的に理解できるであろう。従って、細
かい計算は気にしないで、結果を直感的に理解することに努めよ。ただ、結果のみを書い
たのでは原理を示したことにならないので、退屈であるが正確な記述を示す。
図
2.1に示すCR回路の過渡応答を考える。ここでは、スイッチが
OFFの状態ではコンデンサーに充電されていないものとする。そして、それをONにした瞬
間から電流が流れ、コンデンサーが充電される。その充電電圧が上がり、電源電圧と等し
くなると電流は流れなくなり、回路は定常状態におさまる。スイッチをONにして、定常状
態におさまるまでを過渡状態と言う。
電流や電圧、あるいはコンデンサーの片側の電極の電荷量は、時間とともに変化する。そ
の変化を表す式を考える。スイッチSをONにした場合、この回路の電圧に関係するキルヒ
ホッフの法則は
となる。電荷

と電流は、

の関係がある。この関係式を用いると、式
(
2.1)は
 |
(2.2) |
となる。ここで、電荷

のみが時間の関数で、残りは定数である。この常微分方程式の
一般解
2.1は、
である。ここで、

は任意定数である。
任意常数は初期条件より決めることができる。スイッチSをONにした瞬間を
として、そのときの回路の状態を初期条件と言う。ここでの初期条件は、
の時、コンデンサーの電荷は
とする。この条件を先ほどの電荷を表す式に当てはめると、

である。したがって、
このCR直列回路のコンデンサーの片側に貯まる電荷は、
 |
(2.4) |
となる。
電荷
の変化が分かったので、回路の電圧や電流を求めることは簡単である。まずは、
コンデンサーの電圧は、
から簡単に求められ、
 |
(2.5) |
である。

の時にはコンデンサーには充電されていないので、電圧は発生していない
のである。これは、その瞬間のコンデンサーの抵抗はゼロと考える。一方、回路に流れる
電流は

より、
 |
(2.6) |
となる。

の瞬間、コンデンサーの抵抗はゼロなので、電流は抵抗によってのみ決ま
るので、

となる。
ここで、
を時定数と言い、それはコンデンサーの電圧が定常状態の63.2%になる時
間を表している。
先ほどと同様な手法を用いて、図
2.2のLR回路を解析する。これ
を解析する前に、定性的にその応答を述べておく。スイッチSをONにした瞬間、コイルの
抵抗は無限大になる。もし無限大にならないと、有限の電流がながれそのときの電流の
変化は無限大となる。すると無限大の抵抗となり、電流はゼロにならなくては成らない。
これは矛盾である。従って、ONにした瞬間の電流はゼロで、しばらくすると電流が徐々に
増加する。電流が増加して行くが、

よりも多くの電流が流れることはない。定常
状態ではコイルは無視でき、

の電流が流れる。
定量的な解析は、キルヒホッフの法則から始める。この回路では、
 |
(2.7) |
である。CR回路の解析と同様に、この微分方程式の一般解は、
となる。ここで、初期条件(

の時、

)を用いると、任意定数は

となる。
したがって、回路に流れる電流は、
![$\displaystyle I=\frac{E}{R}\left[1-e^{-\frac{R}{L}t}\right]$](img78.png) |
(2.9) |
となる。一方、抵抗の電圧は
である。
電流や電圧が定常状態の63.2%になる時間を時定数と言い、それは
である。
図
2.3のLCR回路を解析する。これを定性的に理解することはな
かなか難しいが、少し考えてみる。まずは、コイルがあるためスイッチを入れた瞬間の電
流はゼロで徐々に立ち上がると想像できる。途中経過は分からないが、最後にはコンデン
サーが電源電圧

まで充電され、定常状態になると思われる。
定性的に分かりにくい場合は、定量的に評価するしかない。キルヒホッフの法則から、
 |
(2.11) |
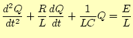
が導かれる。CR回路の解析と同様に

なので、説くべき微分方程式は
 |
(2.12) |
となる。付録
A.2に示しているように、この微分方程式の解は
 |
(2.13) |
となる。ここで、

と

は未知定数で、初期条件によって決める。ここでは、それ
は
とする。
未知定数

と

をもとめて、回路の応答を考えるが、ここでは

、すなわち

の場合を考える。このときの回路
の応答は、式(
2.13)の最初の解によって示される。これから、未知定数
を求めるが、式が長いので
とする。すると、
 |
(2.16) |
である。これを微分して、電流は
となる。初期条件から、
の連立方程式が成り立つ。この連立方程式の解は、
となる。これを用いると、回路に流れる電流やコンデンサーの電荷の変化が分かる。ここ
で、興味があるのは、図
2.3に示されている電圧なので、それ
を電流から求めることにする。回路に流れる電流

は、この

と

を式
(
2.17)に代入すればよい。オイラーの公式
2.2を使う
と、それは、
 |
(2.20) |
となる。これから、図
2.3に示されている電圧は、
となる。これは振動項

と減衰項

の積の形になっており、
このような場合を減衰振動と言う。
次に、

、すなわち

の場合を考える。先ほど同様、
回路の応答は、式(
2.13)の最初の解によって示される。この式は長いので
とする。後は、減衰振動の場合と全く同じように計算を進めれば良い。しかし、

に気が付けば、減衰振動の解を利用することができる。すなわち、式
(
2.22)の

を

に書き直せば良い。
これから、図
2.3に示されている電圧は、
となる
2.3。この場合、
振動しないで減衰する。これを過減衰と言う。
次に、

、すなわち

の場合を考える。回路の応答は、式
(
2.13)の2番目の解によって示される。この式は長いので
 |
 |
(2.27) |
とする。従って、
 |
(2.28) |
である。
減衰振動の場合と全く同じように、初期条件から未知定数を決める。まずはじめに、
のとき
の条件から、
となる。従って、
 |
(2.29) |
となる。これから、電流は
 |
(2.30) |
となる。

のとき

の条件から、

となる。元々の条件、

を上手に使い、整理すると
 |
(2.31) |
が得られる。これから、
となる。これは臨界減衰と呼ばれる。
ホームページ:
Yamamoto's laboratory著者:
山本昌志
Yamamoto Masashi
平成17年5月13日