1.2 原理

1.2.1 共振回路

1.1のようなLCR直列共振回路に交流電圧Eを加えた とき、回路に流れる電流$ I$

$\displaystyle I$ $\displaystyle =\frac{E}{Z}$    
  $\displaystyle =\cfrac{E}{R+i\left(\omega L-\cfrac{1}{\omega C}\right)}$ (1.1)

となり、その大きさは

$\displaystyle \vert I\vert=\cfrac{E}{\sqrt{R^2+\left(\omega L -\cfrac{1}{\omega C}\right)^2}}$ (1.2)

とである。

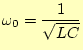
いま、電流が最大に流れるように、交流電源の角振動数$ \omega$を調整して、 $ \omega_0 L-1/(\omega_0 C)=0$とする。すなわち、

$\displaystyle \omega_0 = \frac{1}{\sqrt{LC}}$ (1.3)

とする。 $ \omega=2\pi f$なので、周波数に直すと、 $ f_0=1/(2\pi\sqrt{LC})$である。このよ うにすると、回路に流れる電流は、

$\displaystyle I_0=\frac{E}{R}$ (1.4)

となる。最大の電流が流れるこの状態を共振と言う。丁度、電源の周波数と回路の固有振 動数が一致している状態となっている。図1.1のよう な回路を直列では直列共振という。そして、電源の電圧を一定にしてその周波数を変化さ せると、図1.2のように回路に流れる電流が変わる。 このような図を共振曲線という。

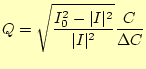
図から明らかなように、$ R$の小さい回路では共振時の電流$ I_0$は非常に大きくなるが、 共振周波数からずれると、それは急激に減少する。この共振曲線の形状の鋭さを測る物差 しとして$ Q$を定義し、これを共振の鋭さ(sharpness of resonance)と言う。

$ \vert I\vert$$ I_0$ $ 1/\sqrt{2}$になる周波数を $ f_1=\omega_1/2\pi$ $ f_2=\omega_2/2\pi$として、

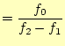
$\displaystyle Q$ $\displaystyle =\frac{f_0}{f_2-f_1}$    
  $\displaystyle =\frac{\omega_0}{\omega_2-\omega_1} \qquad\qquad(\omega_1\leq\omega_0\leq\omega_2)$ (1.5)

と定義する。

図 1.1: 直列共振回路
\includegraphics[keepaspectratio, scale=1.0]{figure/resonance/series_resonant.eps}
図 1.2: 共振曲線
\includegraphics[keepaspectratio, scale=1.0]{figure/resonance/resonance_curve.eps}

1.2.2 Q値の測定方法

ここでは、周波数を一定にして、コンデンサーの容量を変化させた場合の電流を測定して、 Q値を求める。図1.1の回路では、

$\displaystyle \vert I\vert^2=\cfrac{E^2}{R^2+\left(\omega L -\cfrac{1}{\omega C}\right)^2}$ (1.6)

となる。ところで、共振時にはこの式の分母の括弧の中がゼロとなるので、

$\displaystyle I_0^2=\frac{E^2}{R^2}$ (1.7)

である。これより、

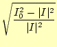
$\displaystyle \sqrt{\frac{I_0^2-\vert I\vert^2}{\vert I\vert^2}}$ $\displaystyle =\cfrac{\omega L-\cfrac{1}{\omega C}}{R}$    
  $\displaystyle =\frac{1}{\omega R}\frac{C-C_0}{CC_0}$    
  $\displaystyle =\frac{1}{\omega R C_0}\frac{\Delta C}{C}$ (1.8)

ここで、$ C_0$は共振時、$ C$は非共振時のコンデンサーの容量で、$ \Delta C$はその差で ある。さらに、 $ \omega^2 L C_0=1$ $ 1/(\omega R C_0)=\omega L/R$なので、

$\displaystyle Q=\sqrt{\frac{I_0^2-\vert I\vert^2}{\vert I\vert^2}}\frac{C}{\Delta C}$ (1.9)

となる。ここで、$ \vert I\vert$を図1.3のように選ぶと、根 号の中が1になる。したがって、

$\displaystyle Q\simeq\frac{C_0}{\Delta C}$ (1.10)

となる。コンデンサーの容量を変化させて、図1.3 を描くことにより、式1.10を用いてQ値を求めることができる。
図 1.3: コンデンサーの容量と電流の関係
\includegraphics[keepaspectratio, scale=1.0]{figure/resonance/capacitance_curve.eps}

ホームページ: Yamamoto's laboratory
著者: 山本昌志
Yamamoto Masashi
平成17年5月13日


no counter