3 実験方法

3.1 機材と注意事項

実験には,表1に示す機材と用いる.

表 1: 電源回路の実験に使う機器
装置 メーカー 型番 使用 台数
電源パネル     1  
オシロスコープ KENWOOD CS-5270   1
すべり抵抗器       1
交流電圧計     50[V] 1
直流電圧計     100[V] 1
直流電流計     1[A] 1

実験を行う場合,以下の注意事項を守ること.
  1. 実験に用いる「電源パネル」には,大別して以下に示す三つの回路が組み込まれている.
    1. 単相全波整流回路(ダイオードを1個はずすと単相半波整流になる)
    2. 単相ブリッジ整流回路
    3. ツェナーダイオードを用いた安定化回路
  2. 各測定器は必ずゼロ調整を行ってから使用すること.
  3. ダイオードや変圧器に過大な電流を流さないこと.負荷に流すことができる最大電 流は以下のとおりである.
    (ア) 負荷接続端子TB01では, 0.6[A]
      ただし,単相半波で使用する場合は 0.25[A]
    (イ) 負荷接続端子TB03でも (ア)と同じ
    (ウ) 負荷接続端子TB05では 0.06[A]
  4. すべり抵抗器(負荷抵抗)を短絡しないよう,十分注意して加減すること.
  5. 実験終了後は,C01〜C07(電解コンデンサー)の両側の電圧を測定し,電圧がゼロで あることを確認すること.もち,ゼロでない場合には,コンデンサーの両側を数百 オームの抵抗で短絡し,確実に放電させてゼロにすること.
  6. 以降の説明では,コンデンサー入力型平滑回路はろ波回路をも含めて図 11のように区別している.
図 11: コンデンサー入力型平滑回路の区分
\includegraphics[keepaspectratio,scale=1.0]{figure/DC_ps/SmoothingCircuit_123.eps}

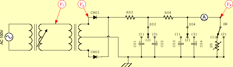
3.2 単相半波整流回路

3.2.1 波形観測(半波整流回路)

以下に従い,半波整流回路の波形観測を行う.
  1. 12に示す回路を作成する.
    • 半波整流回路にするために,ダイオードCR02を取り外す.
    • TP03とTP02,TP05とTP06を接続する.
    • スイッチS02は(2)側,S03は(1)側,SWは(1)側へ入れる.
    • $ V_1$を観測するために交流電圧計を接続する.
    • $ V_a$を観測するために交流電圧計を接続する.
    • $ V_R$の平均電圧を観測するために直流電圧計を接続する.
    • $ V_R$のリップル波形を観測するためにオシロスコープを接続する.
  2. すべり抵抗器SRを最大にして,電源スイッチS01をONにする.
  3. スライダックを調整してTP1とTP02間の電圧を100[V]とし,そのときの二次出力電 圧$ V_a$を直流電圧計で読む.
  4. オシロスコープで整流波形を観測し,図を描く.また,その波形より電圧の最大値 $ V_m$,周期$ T$を観測し記録する.さらに,直流電圧計により,$ V_R$の平均値$ V_d$を読み取って,$ V_a$と共に表2に記録する.
図 12: 単相半波整流回路の波形観測
\includegraphics[keepaspectratio,scale=1.0]{figure/DC_ps/circuit_single_half_wf.eps}

3.2.2 平滑回路 I の特性(半波整流波形入力)

13に示す直流電源回路の平滑特性を観測する.以下に従い,回路の特性の測定を行う.
  1. 測定回路を作成する.
    • 前の実験(波形観測)の回路と変わるのは,スイッチS02を(1)側にするだけ.
    • スイッチS02を切り換えることにより,コンデンサーの容量を変化させ, リップルの様子を観測する.
    • 予め,平滑回路のコンデンサーの容量を記録しておくこと.
  2. すべり抵抗器SRを最大にして,電源スイッチS01をONにする.
  3. スライダックを調整してTP01とTP02間の電圧を100[V]とする.
  4. オシロスコープでリップル波形を観測し,図に描く.
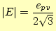
  5. スイッチSWを(2)側にして,負荷電流$ I_d$がゼロの時の直流電圧$ V_{d0}$,リッ プル電圧$ e_{pv}$を読み,記録する.
    次にスイッチSWを(1)側にして,すべり抵抗器SRにより負荷電流$ I_d$を20[mA]き ざみに200[mA]まで漸次増大させ,$ I_d$に対する$ V_d$および$ e_{pv}$を読み, 記録する.
  6. 次式により,リップル電圧の実効値およびリップル含有率を求める.
    • 波形が三角波またはのこぎり波の場合の電圧の実効値$ \vert E\vert$

      $\displaystyle \vert E\vert=\frac{e_{pv}}{2 \sqrt{3}}$ (1)

      である.
    • リップル含有率は,

      $\displaystyle \delta =\frac{\vert E\vert}{V_d}\times 100\quad \mathrm{[\%]}$ (2)

      となる.
  7. 結果を表3の形式にまとめる.
  8. スイッチS02を(3)側に切り換えて,(4)〜(7)と同様の実験を行う.
図 13: 半波整流回路の場合の平滑回路Iの特性観測
\includegraphics[keepaspectratio,scale=1.0]{figure/DC_ps/circuit_single_half_I.eps}

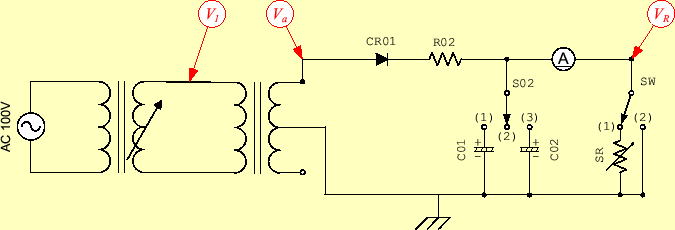
3.2.3 平滑回路 II の特性(半波整流波形入力)

11に示したコンデンサーとチョークコイルからなる平滑 回路の特性を観測する.入力は,単相半波整流とする.以下に従い,回路の特性の測定を行う.
  1. 14の測定回路を作成する.
    • 半波整流にするために,ダイオードCR02を取り外す.
    • TP03とTP04,TP05とTP06,TP04とTP12,TP13とTB02を接続する.
  2. すべり抵抗器SRを最大にして,電源スイッチS01をONにする.
  3. スライダックを調整してTP01とTP02間の電圧を100[V]とする.
  4. オシロスコープでリップル波形を観測し,図に描く.
  5. スイッチSWを(2)側にして,負荷電流$ I_d$がゼロの時の直流電圧$ V_{d0}$,リッ プル電圧$ e_{pv}$を読み,記録する.
    次にスイッチSWを(1)側にして,すべり抵抗器SRにより負荷電流$ I_d$を20[mA]き ざみに200[mA]まで漸次増大させ,$ I_d$に対する$ V_d$および$ e_{pv}$を読み, 記録する.
  6. 次式により,リップル電圧の実効値およびリップル含有率を求める.
    • リップル波形はほぼ正弦波に近いので,電圧の実効値$ \vert E\vert$

      $\displaystyle \vert E\vert=\frac{e_{pv}}{2 \sqrt{2}}$ (3)

      である.
    • リップル含有率は,

      $\displaystyle \delta =\frac{\vert E\vert}{V_d}\times 100\quad \mathrm{[\%]}$ (4)

      となる.
  7. 結果を表4の形式にまとめる.
図 14: 半波整流回路の場合の平滑回路IIの特性観測
\includegraphics[keepaspectratio,scale=1.0]{figure/DC_ps/circuit_single_half_II.eps}

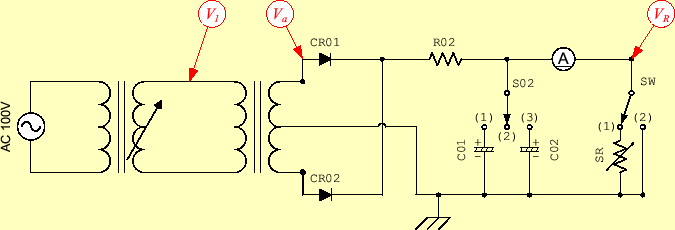
3.3 単相全波整流回路

3.3.1 波形観測(全波整流回路)

以下に従い,単相全波整流回路の波形観測を行う.
  1. 15に示す回路を作成する.
    • TP03とTP02,TP05とTP06を接続する.
    • スイッチS02は(2)側,S03は(1)側,SWは(1)側へ入れる.
    • $ V_1$を観測するために交流電圧計を接続する.
    • $ V_a$を観測するために交流電圧計を接続する.
    • $ V_R$の平均電圧を観測するために直流電圧計を接続する.
    • $ V_R$のリップル波形を観測するためにオシロスコープを接続する.
  2. すべり抵抗器SRを最大にして,電源スイッチS01をONにする.
  3. スライダックを調整してTP1とTP02間の電圧を100[V]とし,そのときの二次出力電 圧$ V_a$を直流電圧計で読む.
  4. オシロスコープで整流波形を観測し,図を描く.また,その波形より電圧の最大値 $ V_m$,周期$ T$を観測し記録する.さらに,直流電圧計により,$ V_R$の平均値$ V_d$を読み取って,$ V_a$と共に表2に記録する.
図 15: 単相全波整流回路の波形観測
\includegraphics[keepaspectratio,scale=1.0]{figure/DC_ps/circuit_single_full_wf.eps}

3.3.2 平滑回路Iの特性(全波整流波形入力)

16に示す直流電源回路の平滑特性を観測する.以下に従い,回路の特性の測定を行う.
  1. 測定回路を作成する.
    • 前の実験(波形観測)の回路と変わるのは,スイッチS02を(1)側にするだけ.
    • スイッチS02を切り換えることにより,コンデンサーの容量を変化させ, リップルの様子を観測する.
    • 予め,平滑回路のコンデンサーの容量を記録しておくこと.
  2. すべり抵抗器SRを最大にして,電源スイッチS01をONにする.
  3. スライダックを調整してTP01とTP02間の電圧を100[V]とする.
  4. オシロスコープでリップル波形を観測し,図に描く.
  5. スイッチSWを(2)側にして,負荷電流$ I_d$がゼロの時の直流電圧$ V_{d0}$,リッ プル電圧$ e_{pv}$を読み,記録する.
    次にスイッチSWを(1)側にして,すべり抵抗器SRにより負荷電流$ I_d$を20[mA]き ざみに200[mA]まで漸次増大させ,$ I_d$に対する$ V_d$および$ e_{pv}$を読み, 記録する.
  6. 次式により,リップル電圧の実効値およびリップル含有率を求める.
    • 波形が三角波またはのこぎり波の場合の電圧の実効値$ \vert E\vert$

      $\displaystyle \vert E\vert=\frac{e_{pv}}{2 \sqrt{3}}$ (5)

      である.
    • リップル含有率は,

      $\displaystyle \delta =\frac{\vert E\vert}{V_d}\times 100\quad \mathrm{[\%]}$ (6)

      となる.
  7. 結果を表3の形式にまとめる.
  8. スイッチS02を(3)側に切り換えて,(4)〜(7)と同様の実験を行う.
図 16: 全波整流回路の場合の平滑回路Iの特性観測
\includegraphics[keepaspectratio,scale=1.0]{figure/DC_ps/circuit_single_full_I.eps}

3.3.3 平滑回路IIの特性(全波整流波形入力)

11に示したコンデンサーとチョークコイルからなる平滑 回路の特性を観測する.入力は,単相全波整流とする.以下に従い,回路の特性の測定を行う.
  1. 17の測定回路を作成する.
    • TP03とTP04,TP05とTP06,TP04とTP12,TP13とTB02を接続する.
  2. すべり抵抗器SRを最大にして,電源スイッチS01をONにする.
  3. スライダックを調整してTP01とTP02間の電圧を100[V]とする.
  4. オシロスコープでリップル波形を観測し,図に描く.
  5. スイッチSWを(2)側にして,負荷電流$ I_d$がゼロの時の直流電圧$ V_{d0}$,リッ プル電圧$ e_{pv}$を読み,記録する.
    次にスイッチSWを(1)側にして,すべり抵抗器SRにより負荷電流$ I_d$を20[mA]き ざみに200[mA]まで漸次増大させ,$ I_d$に対する$ V_d$および$ e_{pv}$を読み, 記録する.
  6. 次式により,リップル電圧の実効値およびリップル含有率を求める.
    • リップル波形はほぼ正弦波に近いので,電圧の実効値$ \vert E\vert$

      $\displaystyle \vert E\vert=\frac{e_{pv}}{2 \sqrt{2}}$ (7)

      である.
    • リップル含有率は,

      $\displaystyle \delta =\frac{\vert E\vert}{V_d}\times 100\quad \mathrm{[\%]}$ (8)

      となる.
  7. 結果を表4の形式にまとめる.
図 17: 全波整流回路の場合の平滑回路IIの特性観測
\includegraphics[keepaspectratio,scale=1.0]{figure/DC_ps/circuit_single_full_II.eps}

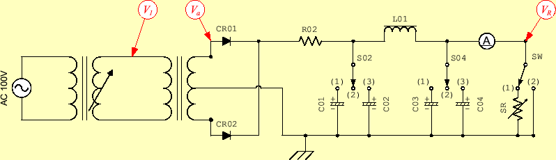
3.3.4 平滑回路 III の特性(全波整流波形入力)

11に示したコンデンサーと抵抗からなる平滑 回路の特性を観測する.入力は,単相全波整流とする.以下に従い,回路の特性の測定を行う.
  1. 18の測定回路を作成する.前の実験回路と異 なる部分を以下に示す.
    • スイッチS03を(1)側に入れる.
    • ホーロー抵抗R04を取り外し,チョークコイルの位置に取り付ける.
    • スイッチS02は(1)側,S04は(1)側に入れる.
  2. すべり抵抗器SRを最大にして,電源スイッチS01をONにする.
  3. スライダックを調整してTP01とTP02間の電圧を100[V]とする.
  4. オシロスコープでリップル波形を観測し,図に描く.
  5. スイッチSWを(2)側にして,負荷電流$ I_d$がゼロの時の直流電圧$ V_{d0}$,リッ プル電圧$ e_{pv}$を読み,記録する.
    次にスイッチSWを(1)側にして,すべり抵抗器SRにより負荷電流$ I_d$を20[mA]き ざみに200[mA]まで漸次増大させ,$ I_d$に対する$ V_d$および$ e_{pv}$を読み, 記録する.
  6. 次式により,リップル電圧の実効値およびリップル含有率を求める.
    • リップル波形はほぼ正弦波に近いので,電圧の実効値$ \vert E\vert$

      $\displaystyle \vert E\vert=\frac{e_{pv}}{2 \sqrt{2}}$ (9)

      である.
    • リップル含有率は,

      $\displaystyle \delta =\frac{\vert E\vert}{V_d}\times 100\quad \mathrm{[\%]}$ (10)

      となる.
  7. 結果を表5の形式にまとめる.
図 18: 全波整流回路の場合の平滑回路IIIの特性観測
\includegraphics[keepaspectratio,scale=1.0]{figure/DC_ps/circuit_single_full_III.eps}

3.4 単相ブリッジ整流回路

3.4.1 波形観測(ブリッジ整流回路)

以下に従い,ブリッジ整流回路の波形観測を行う.
  1. 19に示す回路を作成する.
    • ブリッジ整流回路にするために,ダイオードCR03〜06を使う.
    • TP03とTP04,TP05とTP06の接続を切り離す.
    • TP04とTP07,TP06とTP09を接続する.
    • スイッチS02は(2)側,S03は(1)側,SWは(1)側へ入れる.
    • $ V_1$を観測するために交流電圧計を接続する.
    • $ V_a$を観測するために交流電圧計を接続する.
    • $ V_R$の平均電圧を観測するために直流電圧計を接続する.
    • $ V_R$のリップル波形を観測するためにオシロスコープを接続する.
  2. すべり抵抗器SRを最大にして,電源スイッチS01をONにする.
  3. スライダックを調整してTP1とTP02間の電圧を100[V]とし,そのときの二次出力電 圧$ V_a$を直流電圧計で読む.
  4. オシロスコープで整流波形を観測し,図を描く.また,その波形より電圧の最大値 $ V_m$,周期$ T$を観測し記録する.さらに,直流電圧計により,$ V_R$の平均値$ V_d$を読み取って,$ V_a$と共に表2に記録する.
図 19: 単相ブリッジ整流回路の波形観測
\includegraphics[keepaspectratio,scale=1.0]{figure/DC_ps/circuit_single_bridge_wf.eps}

ホームページ: Yamamoto's laboratory
著者: 山本昌志
Yamamoto Masashi
平成17年10月21日


no counter