2 ビオ-サバールの法則

2.1 ビオ-サバールの法則

静電場の場合、微少体積$ \Delta V$が作る微少電場は、

$\displaystyle \Delta E=\frac{1}{4\pi\varepsilon_0}\frac{\rho\Delta V}{r^2}$ (1)

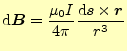
となった。これに対応する静磁場の式がビオ-サバールの法則である。電流$ I$が流れてい る微少区間$ \Delta s$が作る微少磁場(磁束密度)は、

$\displaystyle \Delta B=\frac{\mu_0}{4\pi}\frac{I\Delta s \sin\theta}{r^2}$ (2)

となる。図1にこれらの位置関係を示す。この微小磁場$ \Delta
B$は、ベクトルで、その大きさと方向は、 となっている。
図 1: ビオ-サバールの法則
\includegraphics[keepaspectratio, scale=1.0]{figure/BiotSavart_coil.eps}

ちょっとこれらの式は方向を指定することが不可能なので、それを含めた正確なベクトル で表現する。ベクトルを用いて表現すると、図など書かなくても式が全てを語っている。それぞれは、

  $\displaystyle \mathrm{d}\boldsymbol{E}=\frac{\rho}{4\pi\varepsilon_0}\frac{\mathrm{d}V\boldsymbol{r}}{r^3}$ (3)
  $\displaystyle \mathrm{d}\boldsymbol{B}=\frac{\mu_0 I}{4\pi}\frac{\mathrm{d}\boldsymbol{s}\times\boldsymbol{r}}{r^3}$ (4)

となる。ただし、微少電流や微少電荷を座標原点に置いている。この後者をビオ-サバー ルの法則と言う。

後者の式は、

$\displaystyle \mathrm{d}\boldsymbol{B}=\frac{\mu}{4\pi}\frac{\mathrm{d}V\boldsymbol{j}\times\boldsymbol{r}}{r^3}$ (5)

と書いた方が電場の式との対応が良い。こうなると、$ j$は電流密度である。

2.2 ビオ-サバールの法則の導出

このビオ-サバールの法則は、特殊相対性理論を用いて導くのが本来の姿と思われるが、 そこまですると、講義の時間が不足する。そこで、静磁場の知識のみですむ教科書と同じ 説明をする。正直に言うと、このような説明方法があるとは知らなかった。さすが、砂川 重信先生である。

今まで学習してきた磁場は、全て端が無い電流により作られる。すなわち、無限に長い電 線や閉じた電線である。ビオサバールの法則を見ると、微少区間の電流を取り扱っている ので、端が存在する。そのような電流を考えると、積分型のアンペールの法則が成り立た なくなる。これは、電流が保存されていないからである。

電流が保存された系で微少電流を考えるために、教科書では、微少電線の両端で発散と収 束を考えている。このようにする限り、電流は保存され、積分型のアンペールの法則が成 立する。また、これらの微少電流を足しあわせることにより、無限に長い電流や閉じた電 流を考えることができる。この辺の所は教科書の図の通り。

図 2: 電流保存則が成り立つ電流素
\includegraphics[keepaspectratio, scale=1.0]{figure/dI_conserv_current.eps}

それでは、このような微少電流からビオ-サバールの法則が成立するか、調べることにす る。教科書の図5.9(a)に示している磁場 $ \Delta \boldsymbol{B}$を求める。そのために、積分形 のアンペールの法則

$\displaystyle \oint \boldsymbol{B}\cdot\mathrm{d}\ell=\mu_0\int_S\boldsymbol{j}\cdot\boldsymbol{n}dS$ (6)

を使う。ある閉じた面の縁の磁場の線積分は、内部の電流密度の面積分に等しい。もっと 簡単に言うと、磁場を線積分したら、そこの面を流れる電流に等しいと言っているのであ る。これを利用して磁場を求めようと言うのである。ビオ-サバールの法則を考えるため に、積分を行う範囲は、教科書の通り、円の一部を切り取った範 囲が適当である。この部分では、電流は一定である。なぜならば、微少電線の端では、球状に電 流が発散及び収束しており、この部分球の表面はその端から等距離にある。従って、ここ での電流密度は、

$\displaystyle j=\frac{I}{4\pi r^2}$ (7)

となる。また、対称性から、磁場の大きさも一定$ \Delta B$となることは明らかである。

アンペールの法則、式(6)を用いて磁場$ \Delta B$を計算することにな るが、この左辺は簡単で

$\displaystyle \oint \boldsymbol{B}\cdot\mathrm{d}\ell$ $\displaystyle =\Delta B 2 \pi R$    
  $\displaystyle = 2 \pi r\sin\theta\Delta B$ (8)

となる。

次に、式(6)の右辺を考えることにする。この右辺は、積分領域の 電流のを表している。ここでの、積分を行う部分の電流密度は一定で、 $ j=\frac{I}{4\pi
r^2}$と分かっている。したがって、積分領域の面積さえ分かれば、電流は計算でき、右 辺の値が分かることになる。教科書の図5.9(b)の帯状の微少区間の面積は、

$\displaystyle \mathrm{d}S$ $\displaystyle =r\mathrm{d}\theta^\prime\times 2\pi r\sin\theta^\prime$    
  $\displaystyle =2\pi r^2\sin\theta^\prime \mathrm{d}\theta^\prime$ (9)

となる。従って全ての面積は、区間 $ [0, \theta]$で積分を行うことにより

$\displaystyle S$ $\displaystyle =\int_0^\theta 2\pi r^2\sin\theta^\prime \mathrm{d}\theta^\prime$    
  $\displaystyle =2\pi r^2\int_0^\theta \sin\theta^\prime \mathrm{d}\theta^\prime$    
  $\displaystyle =2\pi r^2(1-\cos\theta)$ (10)

と求められる。従って、微少電線のAから流出する電流の総量は、この面積に電流密度を かければ求められ、

$\displaystyle j_A S_A$ $\displaystyle =2\pi r^2(1-\cos\theta)\frac{I}{4\pi r^2}$    
  $\displaystyle =\frac{I}{2}(1-\cos\theta)$ (11)

となる。これは、距離に関係なく、角度のみに依存する。電流は保存され、球状に放出さ れるので当たり前のことである。

次に、同じ縁を持つ積分領域で教科書の図5.9のB点から吸収される電流を計算する。先の A点の放出電流の式が使える。異なるところは、角度のみである。したがって、B点への吸 収電流はとなる。

$\displaystyle j_B S_B=\frac{I}{2}\left\{1-\cos(\theta-\Delta \theta)\right\}$ (12)

A点の放出電流と、B点の吸収電流をあわせたものがトータルの電流で、

$\displaystyle j_A S_A-j_B S_B$ $\displaystyle =\frac{I}{2}(1-\cos\theta)-\frac{I}{2}\left\{1-\cos(\theta-\Delta \theta)\right\}$    
  $\displaystyle =\frac{I}{2}\left\{\cos(\theta-\Delta \theta)-\cos\theta\right\}$    
      $ \Delta\theta$は小さいので、テイラー展開して1次の項まで取る    
  $\displaystyle \simeq \frac{I}{2}\left\{\cos\theta+\sin\theta\cdot\Delta\theta -\cos\theta\right\}$    
  $\displaystyle \simeq \frac{I}{2}\sin\theta\cdot\Delta\theta$ (13)

となる。したがって、円$ C_0$上のアンペールの法則は

$\displaystyle 2 \pi r\sin\theta\Delta B=\frac{\mu_0I}{2}\sin\theta\cdot\Delta\theta$ (14)

となる。したがって、微小磁場は

$\displaystyle \Delta B=\frac{\mu_0I}{4\pi r}\Delta\theta$ (15)

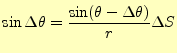
となる。ビオ-サバールの法則まで、後一歩である。そのためには、 $ \Delta\theta$がじゃ まなので、書き換えなくてはならない。今考えている微少電流とその周辺の幾何学的配置 は、図3のようになる。正弦定理

$\displaystyle \frac{\Delta S}{\sin\Delta\theta}=\frac{r}{\sin(\theta-\Delta\theta)}$ (16)

から、

$\displaystyle \sin\Delta\theta=\frac{\sin(\theta-\Delta\theta)}{r}\Delta S$ (17)

が導かれる。 $ \Delta\theta$$ \Delta S$が微少量としてテイラー展開し、1次の項まで 取ると、

$\displaystyle \Delta\theta$ $\displaystyle \simeq \frac{\sin\theta-\cos\theta\cdot\Delta\theta}{r}\Delta S$    
  $\displaystyle \simeq \frac{\sin\theta}{r}\Delta S$ (18)

となる。

式(15)と(18)から、微小磁場は、

$\displaystyle \Delta B$ $\displaystyle =\frac{\mu_0I}{4\pi r}\frac{\sin\theta}{r}\Delta S$    
  $\displaystyle =\frac{\mu_0 I}{4\pi}\frac{I\Delta s\sin\theta}{r^2}$ (19)

となる。これがビオ-サバールの法則である。微少電流が作る微小磁場を表している。
図 3: 微少電流とその位置関係
\includegraphics[keepaspectratio, scale=1.0]{figure/theorem_sin.eps}

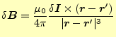
もっと一般的な座標で書くと、

$\displaystyle \delta \boldsymbol{B}=\frac{\mu}{4\pi} \frac{\boldsymbol{j}(r^\pr...
...ldsymbol{r}^\prime)}{\vert\boldsymbol{r}-\boldsymbol{r}^\prime\vert^3} \delta V$ (20)

となる。ここで、 $ \boldsymbol{r}$は観測点、 $ \boldsymbol{r}^\prime$は微少電流の位置を表すベクトル である。この関係を図4に示す。
図 4: 微少電流とその位置関係
\includegraphics[keepaspectratio, scale=0.8]{figure/dB_by_dj.eps}

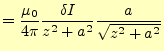
2.3 円電流が作る静磁場

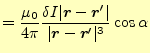
問題のコイルの1個が軸上に作る磁場$ B$は、対称性により、軸上磁場は軸の方 向に向いているはずである。その様子を図5 の左の絵で示す。このコイルの小さい電流要素$ \delta I$が作る磁場は、ビオ- サバールの法則

$\displaystyle \delta\boldsymbol{B}=\frac{\mu_0}{4\pi} \frac{\delta\boldsymbol{I...
...ol{r}-\boldsymbol{r}^\prime)}{\vert\boldsymbol{r}-\boldsymbol{r}^\prime\vert^3}$ (21)

から計算できる。これから、その磁場は図5 の右の絵のようになる。軸上の磁場 $ \boldsymbol{B}$は、微小電流 $ \delta\boldsymbol{I}$がつくる微小 磁場 $ \delta\boldsymbol{B}$をコイルの一周にわたって、足し合わせれば良い。

図から分かるように、微小磁場 $ \delta\boldsymbol{B}$は軸の垂直成分もある。しかし、 これは、コイル1週にわたって足し合わせると、ゼロになる。コイル1周にわたっ て合計すると、残るのは軸上の成分のみである。コイルの軸上の成分は、

$\displaystyle \delta B_z$ $\displaystyle =\frac{\mu_0}{4\pi} \frac{\delta\boldsymbol{I}\times(\boldsymbol{...
...e)}{\vert\boldsymbol{r}-\boldsymbol{r}^\prime\vert^3} \cdot\hat{\boldsymbol{z}}$    
      $ \hat{\boldsymbol{z}}$は、軸方向の単位ベクトル    
      $ \delta\boldsymbol{I}$ $ \boldsymbol{r}-\boldsymbol{r}^\prime$は直交しているので    
  $\displaystyle =\frac{\mu_0}{4\pi} \frac{\delta I\vert\boldsymbol{r}-\boldsymbol{r}^\prime\vert}{\vert\boldsymbol{r}-\boldsymbol{r}^\prime\vert^3}\cos\alpha$    
  $\displaystyle =\frac{\mu_0}{4\pi} \frac{\delta I}{\vert\boldsymbol{r}-\boldsymbol{r}^\prime\vert^2}\cos\alpha$    
  $\displaystyle =\frac{\mu_0}{4\pi} \frac{\delta I}{z^2+a^2}\frac{a}{\sqrt{z^2+a^2}}$    
  $\displaystyle =\frac{\mu_0}{4\pi} \frac{a\delta I}{(z^2+a^2)^{3/2}}$ (22)

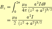
となる。これをコイルの全ての電流で積分することになるが、 $ \delta
I=a\delta\theta$を利用すると計算が楽である。磁場は

\begin{equation*}\begin{aligned}B_z &=\int_0^{2\pi}\frac{\mu_0}{4\pi}\frac{a^2Id...
...2}}\\ &=\frac{\mu_0}{2}\frac{a^2I}{(z^2+a^2)^{3/2}} \end{aligned}\end{equation*}

となる。
図 5: コイルが作る磁場
\includegraphics[keepaspectratio, scale=1.0]{figure/OneTurn_coil.eps}

ホームページ: Yamamoto's laboratory
著者: 山本昌志
Yamamoto Masashi
平成19年6月24日


no counter