2 マクスウェルの方程式

2.1 今まで学習してきたこと

これまで学習した電磁気学の方程式をまとめると、式(1)〜 (4)のようになる。これらの4組の方程式(左は積分形、右は微分形) をマクスウェルの方程式という。これは、電磁気学の全てが含まれており、ニュートン力 学ととともに古典物理学の2本の柱となっている。

  $\displaystyle \int_S\boldsymbol{D}\cdot\boldsymbol{n}\mathrm{d}S$   $\displaystyle \div{\boldsymbol{D}}=\rho$ (1)
  $\displaystyle \int_S\boldsymbol{B}\cdot\boldsymbol{n}\mathrm{d}S$   $\displaystyle \div{\boldsymbol{B}}=0$ (2)
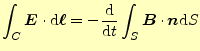
  $\displaystyle \int_C\boldsymbol{E}\cdot\mathrm{d}\boldsymbol{\ell}= -\frac{\mathrm{d}}{\mathrm{d}t}\int_S\boldsymbol{B}\cdot\boldsymbol{n}\mathrm{d}S$   $\displaystyle \nabla\times \boldsymbol{E}=- \if 11 \frac{\partial \boldsymbol{B}}{\partial t} \else \frac{\partial^{1} \boldsymbol{B}}{\partial t^{1}}\fi$ (3)
  $\displaystyle \int_C\boldsymbol{H}\cdot\mathrm{d}\boldsymbol{\ell}= \int_S\bold...
...frac{\mathrm{d}}{\mathrm{d}t}\int_S\boldsymbol{D}\cdot\boldsymbol{n}\mathrm{d}S$   $\displaystyle \nabla\times \boldsymbol{H}=\boldsymbol{j}+ \if 11 \frac{\partial...
...bol{D}}{\partial t} \else \frac{\partial^{1} \boldsymbol{D}}{\partial t^{1}}\fi$ (4)

ただし、この方程式中の $ \boldsymbol{D}$は電束密度、 $ \boldsymbol{B}$は磁束密度、 $ \boldsymbol{E}$は電場の強 さ、 $ \boldsymbol{H}$は磁場の強さを表す。また、$ \rho$は電荷密度、 $ \boldsymbol{j}$は電流密度を表す。

この方程式の電束密度と電場の強さ、磁束密度と磁場の強さには、

  $\displaystyle \boldsymbol{D}=\varepsilon\boldsymbol{E}$ (5)
  $\displaystyle \boldsymbol{B}=\mu\boldsymbol{H}$ (6)

のような関係がある。この $ \varepsilon$$ \mu$は、物質の電磁気的な性質を表す量で、 誘電率と透磁率と呼ばれている。一般に、真空中では $ \varepsilon_0$$ \mu_0$と書かれ る。

さらに、実用上、有用な式としてオームの法則

$\displaystyle \boldsymbol{j}=\sigma\boldsymbol{E}$ (7)

がある。これは、以前示したように電磁気学的な力と統計の法則から導かれるので基本法 則とは言えないが、実用上極めて便利な式である。

これまでここで示した式は、電磁気的なものばかりである。諸君は、電磁気学の現象が力 学の現象と関わりを持つことを知っているだろう。モーターを見よ。これは磁場の作用が 軸を回しているのである。このようなことから、電磁気学と力学をつなぐ基礎的な式があ ることが推測できる。実際、それはローレンツ力と言われるもので、

$\displaystyle \boldsymbol{F}=q(\boldsymbol{E}+\boldsymbol{v}\times\boldsymbol{B})$ (8)

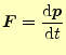
と書かれる。力が分かれば、後はニュートンの運動方程式 2

$\displaystyle \boldsymbol{F}=\frac{\mathrm{d}\boldsymbol{p}}{\mathrm{d}t}$ (9)

を使えば、全てのことは分かる。ここで、 $ \boldsymbol{p}$は運動量である。後のことは力学で学 習したとおりである。

2.2 古典物理学のすべて

「ファインマン物理学 III 電磁気学」には、1905年まで知られている物理学の基本法則 は、表1が全てであると書かれている3

表 1: 古典物理
\begin{table}
\begin{screen}
マクスウェルの方程式
\begin{align}
&\div{\bolds...
...ymbol{r}_2)}{\vert r_1-r_2\vert^3}\nonumber
\end{align} \end{screen}\end{table}


1905年というのはアインシュタインが特殊相対性理論を発表した年で、電磁気学と力学の 矛盾を解決したのである。この特殊相対性理論ではマクスウェルの電磁気学はそのまま生 き残り、ニュートンの力学が修正された。そして、ここで古典物理学は完成されたと言っ て良いだろう。

今年は、ちょうど100年目にあたり、諸君は区切りよい年に古典物理学の一方の柱を勉強 しているのである。


ホームページ: Yamamoto's laboratory
著者: 山本昌志
Yamamoto Masashi
平成19年6月24日


no counter