7 課題

7.1 講義欠席者向け

7.2 課題(全員)

[問1]
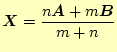
(1)2つの位置ベクトル $ \boldsymbol{A}=\overrightarrow{\mathrm{OA}}$, $ \boldsymbol{B}=\overrightarrow{\mathrm{OB}}$の終点 $ \mathrm{A}$ $ \mathrm{B}$の間を$ m:n$の比に分ける点 $ \mathrm{P}$の位 置ベクトルを $ \boldsymbol{X}=\overrightarrow{\mathrm{OP}}$とすれ ば、

$\displaystyle \boldsymbol{X}=\frac{n\boldsymbol{A}+m\boldsymbol{B}}{m+n}$    

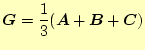
であることを示せ。(2)三角形 $ \mathrm{ABC}$の重心を $ \mathrm{G}$とし、点 $ \mathrm{A, B, C, G}$の位置ベクトル をそれぞれ、 $ \boldsymbol{A}=\overrightarrow{\mathrm{OA}}$, $ \boldsymbol{B}=\overrightarrow{\mathrm{OB}}$, $ \boldsymbol{C}=\overrightarrow{\mathrm{OC}}$, $ \boldsymbol{G}=\overrightarrow{\mathrm{OG}}$とすれば、

$\displaystyle \boldsymbol{G}=\frac{1}{3}(\boldsymbol{A}+\boldsymbol{B}+\boldsymbol{C})$    

であることを示せ。
[問2]
3つの互いに垂直な平面鏡からなる反射鏡がある。この反射鏡 に入った光線(3つの反射鏡で反射される)は、入射方向と平行 な方向にでていくことを示せ。(ヒント:入射光線をベクトルの 成分で表現する。そして、反射鏡はカーテシアン座標系のxy, yz, zx平面にあるとする。)




ホームページ: Yamamoto's laboratory
著者: 山本昌志
yamamoto masashi
平成17年5月14日


no counter