回転を表す行列の性質を調べる。後々の都合を考えて、カーテシアン座標系を

の代わりに

で表すことにする。座標の回転により、座標は

と、ベクト
ルの成分は

と変換される。これらの変換は行列を用いて、
と表すことができる。これをいちいち成分で書かずに、

や

と書く。

が回転を表す行列である。この行列の性
質を少し考えてみよう。
回転を表す行列の成分
は、
軸と
軸の方向余弦を表している。これ
は、2次元の回転を考えれば簡単に分かる。2次元の回転は、
となる。これと、図
6から、回転を表す行列の成分は軸の方向余弦
であることが分かる。方向余弦はその方向の成分を表すのであるから当然であろう。
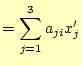
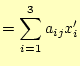
これらのことから、
はプライムがつく
軸とプライムが付かない
軸の方向余
弦を表す。従って、
となる。これらの式のうち、前者は式(
22)を表す。後者の式は、

と

を入れ替えると、
 |
 |
(26) |
となる。回転の行列が転置行列になっていることが分かるであろう。すなわち、
 |
(27) |
である。これらのことから、座標軸が回転した場合の座標やベクトルの変換は簡単に表す
ことができる。すなわち、
| |
 |
(28) |
| |
 |
(29) |
のようにである。
これらの式を比べると、重要な結果
 |
(30) |
が得られる。
- [練習1]
- 2次元カーテシアン座標系の回転を表す行列の逆行列を求め
よ。
- [練習2]
- その逆行列は、元の行列の転置行列になっていることを示
せ。。
ホームページ:
Yamamoto's laboratory著者:
山本昌志
yamamoto masashi
平成17年5月14日