Subsections
静電場の問題では、マクスウェルの方程式の
 |
(1) |
を使う場合が多い。誘電体の問題を扱わなければ、

を用いて、
 |
(2) |
を使う方が簡単である。これと、ガウスの定理
 |
(3) |
を用いると、
という積分型の式が得られる。一般的な問題では、この積分型の式を計算する方が簡単で
ある。ある閉じた領域の表面での電場の積分は、内部の総電荷量を誘電率で割ったものに
等しいと言っている。
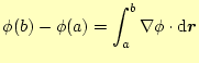
ここで言うポテンシャルにはいろいろな呼び方がある。静電ポテンシャルやスカラーポテ
ンシャル、電位、電圧、電位差などである。これらは、全て同じ物理量を表すことに注意
が必要である。ここでは、単にポテンシャルと呼ぶことにする。
ポテンシャル
は、
と定義される。これと、勾配の積分の定理
 |
(6) |
から、
となる。これは、2点間のポテンシャルの差を表す式である。電場が分かっている場合、
この式から、ポテンシャルを計算するのがもっとも簡単である。
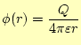
次に、電荷が分かっている場合のポテンシャルの求め方を考えなくてはならない。クーロ
ンの法則から、ある点電荷
の作る電場は、
 |
(8) |
である。したがって、これを積分することによりポテンシャルは、
 |
(9) |
となる。この式を、元の式(
5)に代入すれば、クーロンの法則か
ら導かれる電場が求められることから、正しいことが分かる。ここで、積分定数

がじゃ
まなので、ポテンシャルの基準を作ることにより、それを消去する。通常、

になる
ように、無限遠点がゼロ(

)になるように選ばれる。したがって、点電荷

の中心から距離

離れた位置のポテンシャルは、
 |
(10) |
となる。点電荷が数多くあるとそれを足しあわせ、連続的に分布していると積分
する事により求める。
ポテンシャルの基準を決める場合、注意しなくてはならないことがある。問題により、考
えている系の電荷量が無限になる場合、式(11)のポテンシャル
は発散する。このような場合は、適当な場所
を基準として、
を計算する。通常、基準ポテンシャルはゼロとするので、

=0を用いて、
となる。
ポテンシャルが分かっている場合、電場は簡単に求められる。ポテンシャルの定義の式
 |
(14) |
を使うだけである。積分に比べて、微分は簡単である。
| [問1] |
|---|
半径
の球殻の表面上に電荷
を与えたとき、球の内外の電場を求めよ。
|
球殻の中心を原点とした球座標を考える。この原点を中心として、全ては対称なので、電
場の成分のうち、
のみ値を持つことができ、他の成分は
とゼロとなる。ここでの問いは、この

を求めることに帰着される。
この
を求めるために、式4の積分形のガウスの法則を使うこ
とになる。この式を適用する領域を、この球殻を中心にした球状にすると積分は簡単にな
る。電場を求める位置
とすると、この式の左辺は、
となる。積分領域の球の表面では、電場

は一定で、積分領域の法線方向と一致する
ためである。一方、右辺は
となる。したがって、
である。これから、球殻の内外の電場は、
となる。
| [問2] |
|---|
半径
の無限に長い円柱のなかに、電荷密度が
の電荷が分布
している。この円柱の内外の静電ポテンシャルを求めよ。なお、
は円柱の中心軸から
の距離である。
|
この問題は、軸対称である。したがって、円柱座標系
を使うと問題が簡単
である。そして、この問題では、電場が間単に求められるので、電場を積分する式
7を使うことになる。
対称性により、電場は、
となり、値を持つのは

のみである。この電場を式(
4)を用いて
計算することにする。積分の領域を、長さ

、半径

の円筒した場合、この式の左辺は、
となる。円筒の上下のふたの部分は、

のため、積分はゼロになる。一方、

の場合、右辺は
となる。ここで、

を
使った。また、

の場合は、積分範囲が
![$ [0,a]$](img46.png)
になる。したがって、先の式で

とすればよく、
である。以上をまとめると、ガウスほ法則の積分形の式(
4)は、
となる。これから、直ちに電場

は
と導かれる。
電場が求められたので、それを積分してポテンシャルを求める。この問題の電荷は、無限
に長い円柱となっているので、無限の電荷が含まれる。したがって、無限遠からの電場の積分は発
散してしまいうので、無限遠点を基準にするわけにはいかない。そこで、
の場所を基準
として
とする。他の場所を基準にしても良いが、ここを基準とした場合、もっ
とも積分が容易である。式(13)に従い積分を行うことにな
る。
の場合は、
となる。一方、

の場合は、
である。
| [問3] |
|---|
半径がそれぞれ
と
の導体球を同心にしてつくった球形コンデンサーの静電
容量を求めよ。
|
コンデンサーの片側の電極の電荷量
と電圧
、静電容量
には、
 |
(15) |
の関係がある。これを使って電荷量を求めることになる。そこで、コンデンサーの内側の
電極(半径

)に

の電荷、外側の電極(半径

)に

の電荷があるとする。この状態
で電圧(ポテンシャル)を求めて、静電容量を求めることにする。
この場合も、電圧は電場を積分する事により求めるのが簡単である。問題が、全て球形な
ので極座標系を用いることにする。内側と外側の電極間に生じる電場は、対称性により
| |
 |
|
 |
|
(16) |
となり、

を求めることに問題は帰着される。これは、積分形のガウスの法則を用い
ることにより容易に計算できる。内側と外側の間に同心の球の領域を考え、この法則を適
用する。式(
4)の左辺は、
 |
(17) |
となる。一方、右辺は
 |
(18) |
この右辺と左辺は等しいので、電極間の電場は
 |
(19) |
となる。
これから電極間の電位差は、この電場を積分することにより求められる。積分の結果は
となる。
最初に示した、電圧と電荷量、静電容量の関係式から、
となる。
| [問4] |
|---|
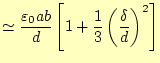
それぞれの辺の長さが
の長方形の電極からできているコンデンサーの電極が、正確
に平行でなく、長さ
の辺に沿う方向の一端の距離が
、他端の距離が
になっている。このコンデンサーの静電容量を
として
の2次の程度で求めよ。
|
平行平板コンデンサーの静電容量
は、
 |
(26) |
となる。したがって、微小静電容量は、
と書いても良いだろう。
これを使って、問題のコンデンサーの静電容量を求める。単に積分をするだけの話である。
静電容量は
となる。これを、

としてテイラー展開する。ここで、テイラー展開式
 |
(32) |
を用いる。すると、コンデンサーの静電容量は、
となる。
ホームページ:
Yamamoto's laboratory著者:
山本昌志
Yamamoto Masashi
2005-11-15